• Предмет: Математика
  • Автор: vvalleraa
  • Вопрос задан 3 года назад

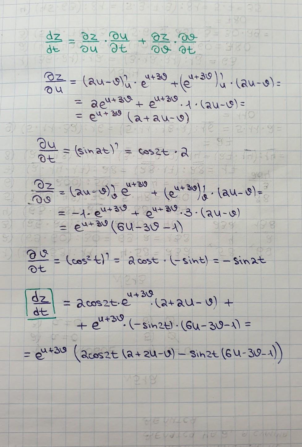
Вычислить производную , если....(100б)

Приложения:

Ответы

Ответ дал: Miroslava227
1

Ответ:

решение на фотографии

Приложения:
Вас заинтересует