• Предмет: Алгебра
  • Автор: Ch00se
  • Вопрос задан 3 года назад

Решите квадратное уравнение, прошу вас!
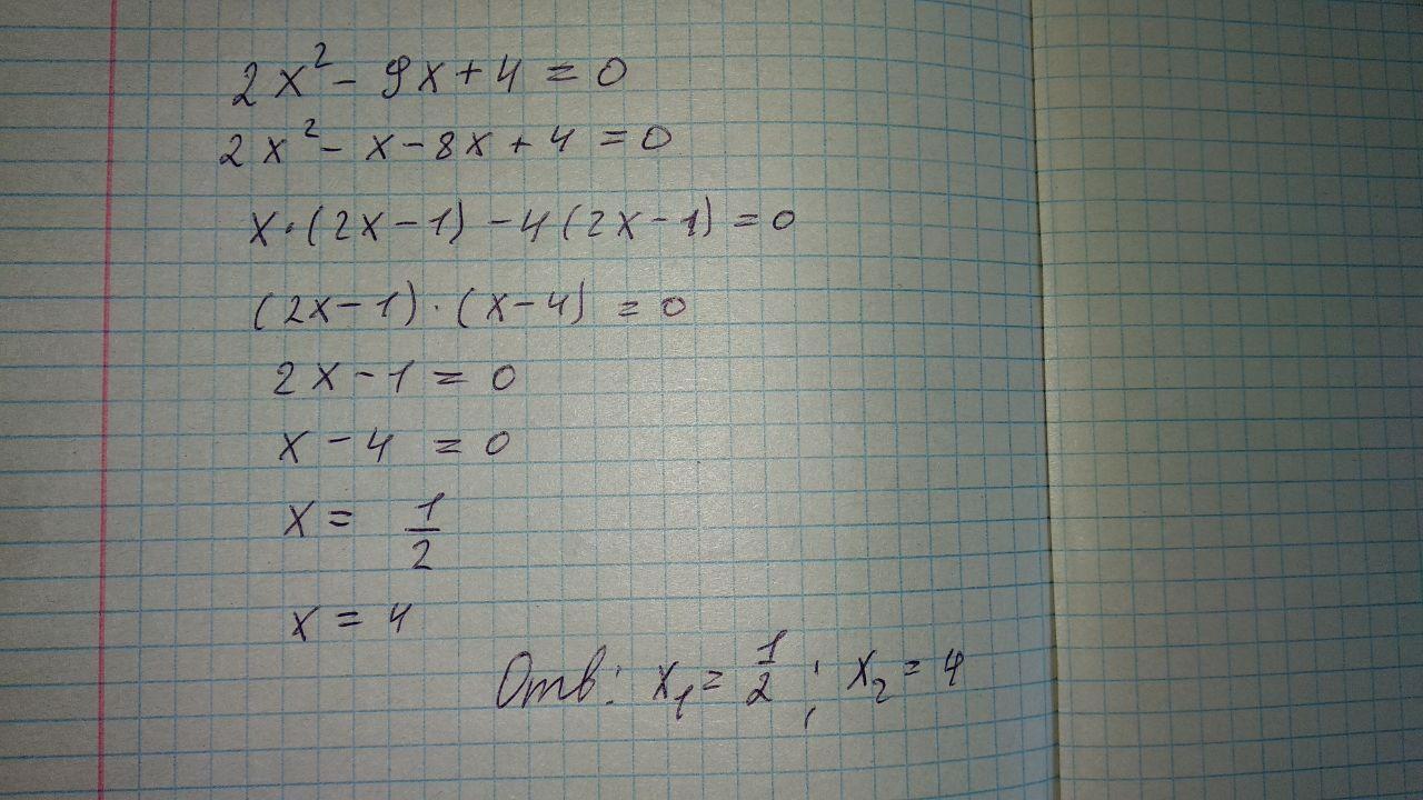
2х^2-9x+4=0

Ответы

Ответ дал: xgamerxpowerp9qy5j
2

Ответ:

x1=1/2, x2=4

Объяснение:

Приложения:

Ch00se: СПАСИБО!
Ответ дал: LiberianSempai
1

2x^2-9x+4=0

a=2 b= -9 c=4

D=b^2-4ac=81-32=49

x1=(-b+√D)/2а= (9+7)/4=4

x2=(-b-√D)/2а= (9-7)/4=0,5

Вас заинтересует