• Предмет: Математика
  • Автор: Svepu
  • Вопрос задан 3 года назад

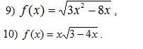
Помогите вычислить производные

Приложения:

Ответы

Ответ дал: Аноним
1

Решение задания приложено

Приложения:
Вас заинтересует