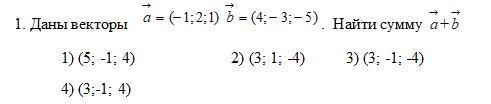
Даны векторы a = (-1;2;1) b = (4;-3;-5) Найти сумму a+b 1) (5; -1; 4) 2) (3; 1; -4) 3) (3; -1; -4) 4) (3;-1; 4
Приложения:

Ответы
Ответ дал:
1
Ответ:
3.(3;-1;-4)
Объяснение:
Вас заинтересует
2 года назад
2 года назад
2 года назад
7 лет назад