• Предмет: Алгебра
  • Автор: 789456123579
  • Вопрос задан 3 года назад

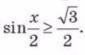
Решите неравенство ( смотреть скриншот ниже )

Приложения:

Ответы

Ответ дал: irinan2014
1

Ответ:

Объяснение:

Решаем на тригонометрическом круге.

Приложения:
Вас заинтересует