• Предмет: Алгебра
  • Автор: maffinerm
  • Вопрос задан 3 года назад

СРОЧНО ПОМОГИТЕ!!!! ОТДАМ БАЛЛЫ

Приложения:

Ответы

Ответ дал: Аноним
1

Ответ:

1. 2.25

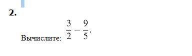
2. -0.3

3. 3328

Объяснение:

1. 6.9-1.5/2.4= 5.4/2.4=2.25

2. 3/2 - 9/5= 15/10 - 18/10= - 3/10= -0.3

3. (16*10^-2)²*(13*10^4)=(16*0.01)²*(13*10000)=0.16²*130000=0.0256*130000=

=3328

Вас заинтересует