• Предмет: Математика
  • Автор: elenapaley2002
  • Вопрос задан 3 года назад

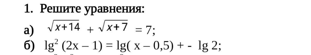
Решите уравнение
Очень прошу

Приложения:

Ответы

Ответ дал: sabrina03129
0

а) √x+14 + √x+7=7

√x+14=7-√x+7

x+14=49-14√x+7+x+7

14=49-14√x+7+7

14=56-14√x+7

14√x+7=56-14

14√x+7=42

√x+7=3

x+7=9

x=9-7

x=2

√2+14 + √2+7=7

7=7

Ответ: x=2

Вас заинтересует