• Предмет: Математика
  • Автор: Alou16
  • Вопрос задан 3 года назад

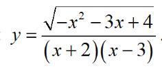
Найти область определения

Приложения:

Ответы

Ответ дал: vityamath
1

Ответ:

Пошаговое объяснение:

-x^{2} -3x+4\geq 0\\(x+2)(x-3)\neq 0

x\neq -2;3

-x^{2} -3x+4\geq 0\\x^2+3x-4\leq 0

По теореме Виета:

x1=1

x2=-4

Интервал:

[-4;-2)∨(-2;1]

Ответ дал: Medved23
1

D(y): \left\{\begin{matrix}-x^2-3x+4\geq 0, &  & \\ (x+2)(x-3)\neq 0; &  & \end{matrix}\right.\Leftrightarrow \left\{\begin{matrix}x^2+3x-4\leq 0, &  & \\ x+2\neq 0, &  & \\ x-3\neq 0;&  &\end{matrix}\right.\Leftrightarrow \left\{\begin{matrix}x\in[-4;1], &  & \\ x\neq-2, &  & \\ x\neq 3\end{matrix}\right.\Rightarrow x\in[-4;-2)\cup(-2;1]

ОТВЕТ: [-4; -2) ∪ (-2; 1].

Вас заинтересует