• Предмет: Алгебра
  • Автор: hkl66018
  • Вопрос задан 3 года назад

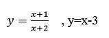
На графике найдите точки у которых касательная параллельная прямой ( смотреть скриншот )

Приложения:

Ответы

Ответ дал: zveryakovanata
2

Ответ:(-1; 0) и (-3; 2)

Объяснение: y'= (x+1/x+2)'= 1/(x+2)².   Так как касательная параллельна прямой у=х-3 (k=1),  то угловой коэффициент касательной   тоже равен k= 1 ⇒ k=у'(x₀) =1 ⇒  1/(x₀+2)² =1 ⇒  (x₀+2)² =1  ⇒ x₀+2 = ±1  ⇒ x₀₁=-1, x₀₂ = -3 ⇒ у(-1)=0, у(-3)=2. На графике найдите точки,  у которых касательная параллельная прямой y=x-3 имеют координаты (-1; 0) и (-3; 2)

Вас заинтересует