• Предмет: Алгебра
  • Автор: Dotikas
  • Вопрос задан 3 года назад

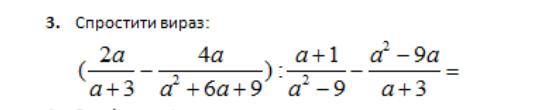
50 баллов даю. Решите пожалуйста

Приложения:

Ответы

Ответ дал: natalyabryukhova
1

Ответ:

============================================

Объяснение:

Приложения:
Ответ дал: vityamath
0

Ответ:

a

Объяснение:

Выполню по действиям:::

\frac{2a}{a+3} -\frac{4a}{a^2+6a+9} =\frac{2a}{a+3} -\frac{4a}{(a+3)^2} =\frac{2a(a+3)-4a}{(a+3)^2} =\frac{2a^2+6a-4a}{(a+3)^2} =\frac{2a^2+2a}{(a+3)^2} =\frac{2a(a+1)}{(a+3)^2}

\frac{2a(a+1)}{(a+3)^2} /\frac{a+1}{a^2-9} =\frac{2a(a+1)}{(a+3)^2}*\frac{a^2-9}{a+1} =\frac{2a(a+1)}{(a+3)^2}*\frac{(a-3)(a+3)}{a+1}  =\frac{2a(a-3)}{a+3}

\frac{2a(a-3)}{a+3} -\frac{a^2-9a}{a+3} =\frac{2a(a-3)}{a+3} -\frac{a(a-9)}{a+3} =\frac{2a^2-6a-(a^2-9a)}{a+3} =\frac{2a^2-6a-a^2+9a}{a+3} =\frac{a^2+3a}{a+3} =\frac{a(a+3)}{a+3} =a


Meervi: Здравствуйте,вы хорошо понимаете математику, можете у меня посмотреть задания и помочь решить, очень благодарю.Математика дискретная
Вас заинтересует