• Предмет: Геометрия
  • Автор: vlad9972
  • Вопрос задан 3 года назад

1). Радиус основания Цилиндра равен5 см., а его образующая 9 см.
Найти площадь осевого сечения Цилиндра.
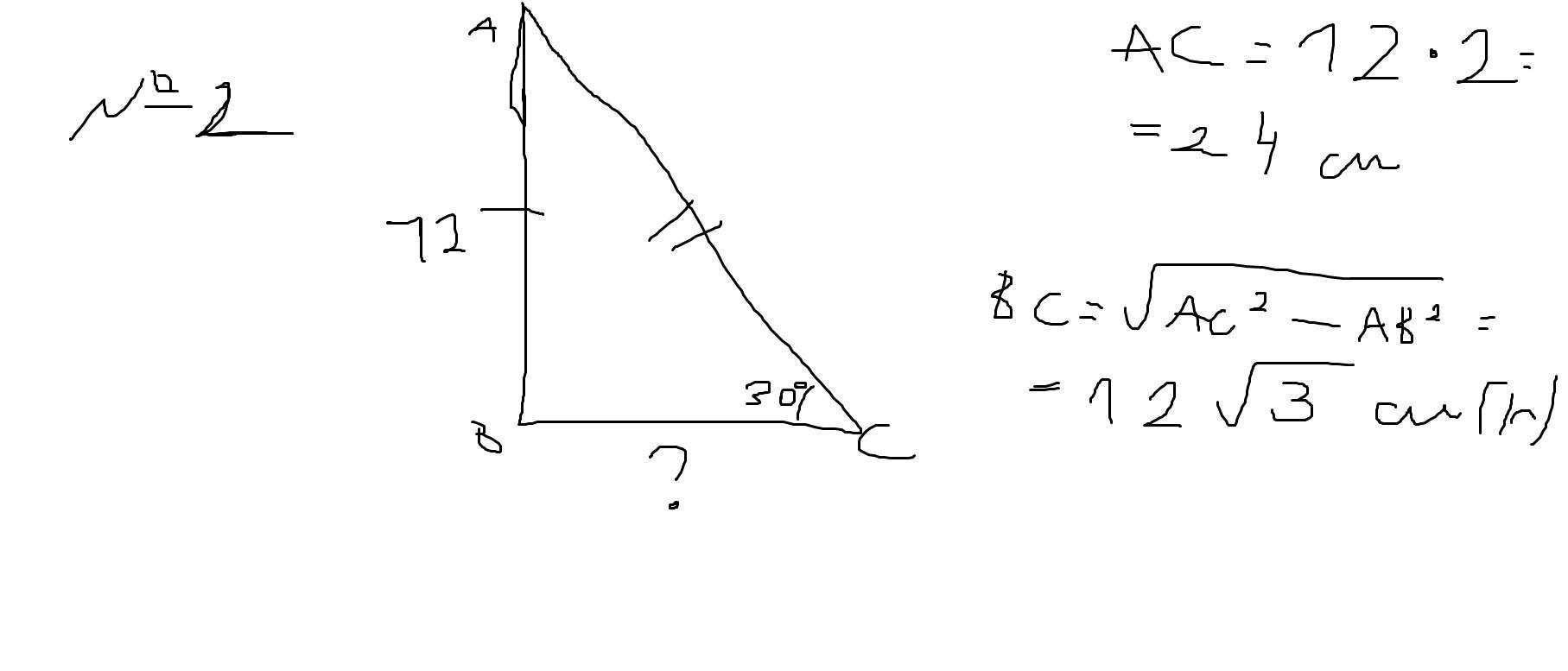
2). Образующая конуса наклонена к плоскости основания под
углом 30°, а его высота равна 12 см. Найдите площадь боковой
поверхности конуса.

Ответы

Ответ дал: romaprihodko2006
1

Ответ:

1)r=5 h=9

S.ос.сеч.=r*h=45 см

2)h=12 r=? p=3.14

S=h*r*p≈783 см^2

Объяснение:

Приложения:
Вас заинтересует