• Предмет: Алгебра
  • Автор: zubnojfej
  • Вопрос задан 3 года назад

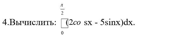
вычислить определённый интеграл​

Приложения:

Ответы

Ответ дал: Decoration
1

Ответ:

Объяснение:

F(x)=2sinx + 5 cosx

2sin(pi/2)+5cos(pi/2)-(2sin(0)+5co(0))=-3

Ответ дал: sangers1959
1

Объяснение:

\int\limits^{\frac{\pi }{2}} _0 {(2*cosx-5*sinx)} \, dx =(2*sinx+5*cosx)|_0^{\frac{\pi }{2}}=\\=2*sin\frac{\pi }{2}  +5*cos\frac{\pi }{2} -(2*sin0+5*cos0)=2*1+5*0-(2*0+5*1)=\\=2+0-(0+5)=2-5=-3.

Вас заинтересует