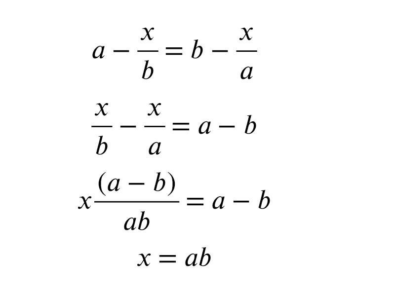
a-x/b=b-x/a как решить помогите пожалуйста
abrorovadiera:
да наверно там написали решите уравнение
Ответы
Ответ дал:
0
Ответ:
Пошаговое объяснение:
Приложения:

Вас заинтересует
2 года назад
2 года назад
2 года назад
7 лет назад
9 лет назад