• Предмет: Математика
  • Автор: Stefanuch
  • Вопрос задан 3 года назад

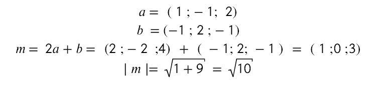
Модуль вектора m=2a+b, де a=i-j+2k, b=-j+2j-k дорівнює:

а) 10 б)√10 в) 2 г)√26

Розписать ответ СРОЧНО!!​

Ответы

Ответ дал: Decoration
1

Ответ:

Файл :

Пошаговое объяснение:

Приложения:
Вас заинтересует