• Предмет: Математика
  • Автор: Громова203
  • Вопрос задан 3 года назад

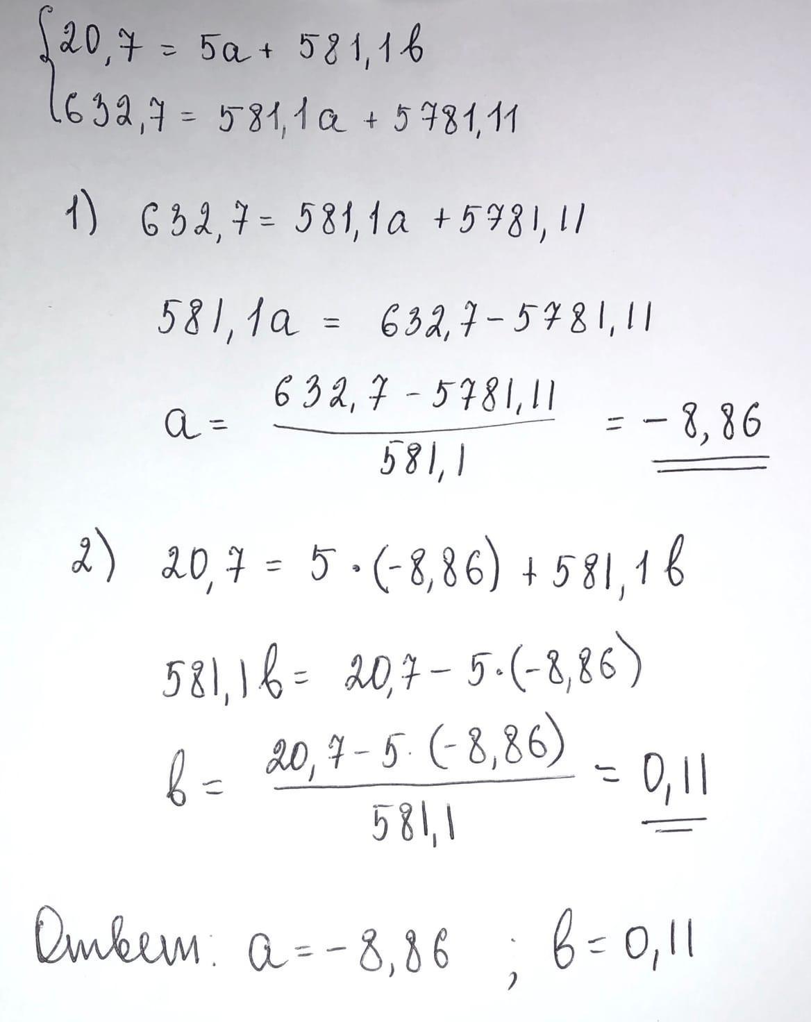
Решить систему уравнения подробно,
без крамера

Приложения:

Ответы

Ответ дал: efs2000
1

На фото решение системы уравнения

Приложения:
Вас заинтересует