28Баллов! Срочно! Задание на фото!
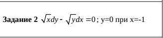
Найти частное решение уравнения с разделяющимися переменными.
Приложения:

Ответы
Ответ дал:
1
Ответ: y=(√x-i)², где i=√(-1).
Пошаговое объяснение:
Разделив уравнение на произведение √x*√y, получаем dy/√y-dx/√x=0. Интегрируя, находим 2*√y-2*√x=2*C, где C - произвольная постоянная. Отсюда √y=√x+C и y=(√x+С)². Используя условие y(-1)=0, получаем уравнение 0=(√(-1)+С)², откуда C=-√(-1)=-i. Тогда y=(√x-i)².
Вас заинтересует
2 года назад
2 года назад
2 года назад
2 года назад
7 лет назад
7 лет назад
9 лет назад
9 лет назад