• Предмет: Математика
  • Автор: vladyuliya
  • Вопрос задан 3 года назад

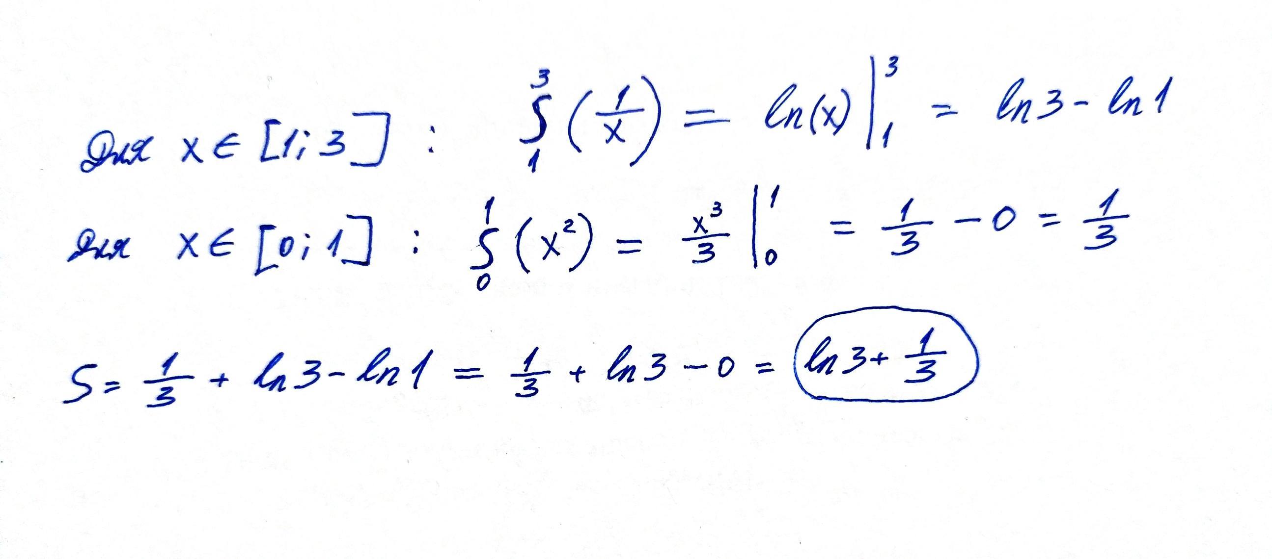
Вычислить площадь фигуры, ограниченной линиями:
y=x^2, y=1/x, x=3, y=0.

Ответы

Ответ дал: vladkarandashovtech
2

Ответ:

ln(3) + 1/3

Пошаговое объяснение:

Приложения:
Вас заинтересует