• Предмет: Математика
  • Автор: cernova501
  • Вопрос задан 3 года назад

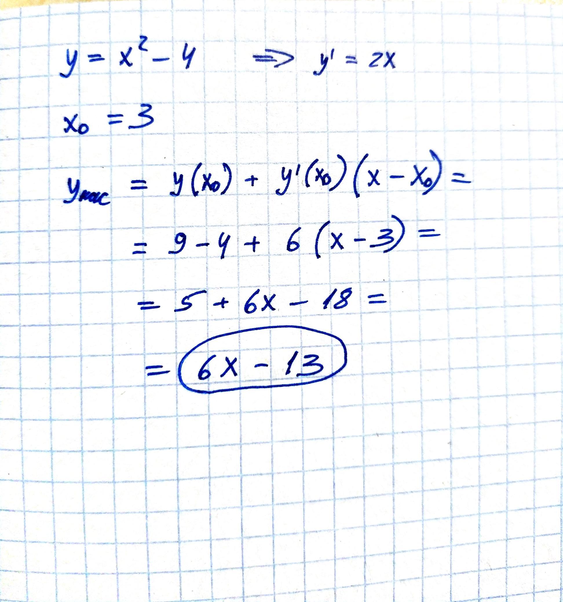
записать уравнение касательной графику функции в точке с данной абсциссой
y=x^2-4; x=3​

Ответы

Ответ дал: vladkarandashovtech
1

Ответ:

6x-13

Пошаговое объяснение:

Приложения:
Вас заинтересует