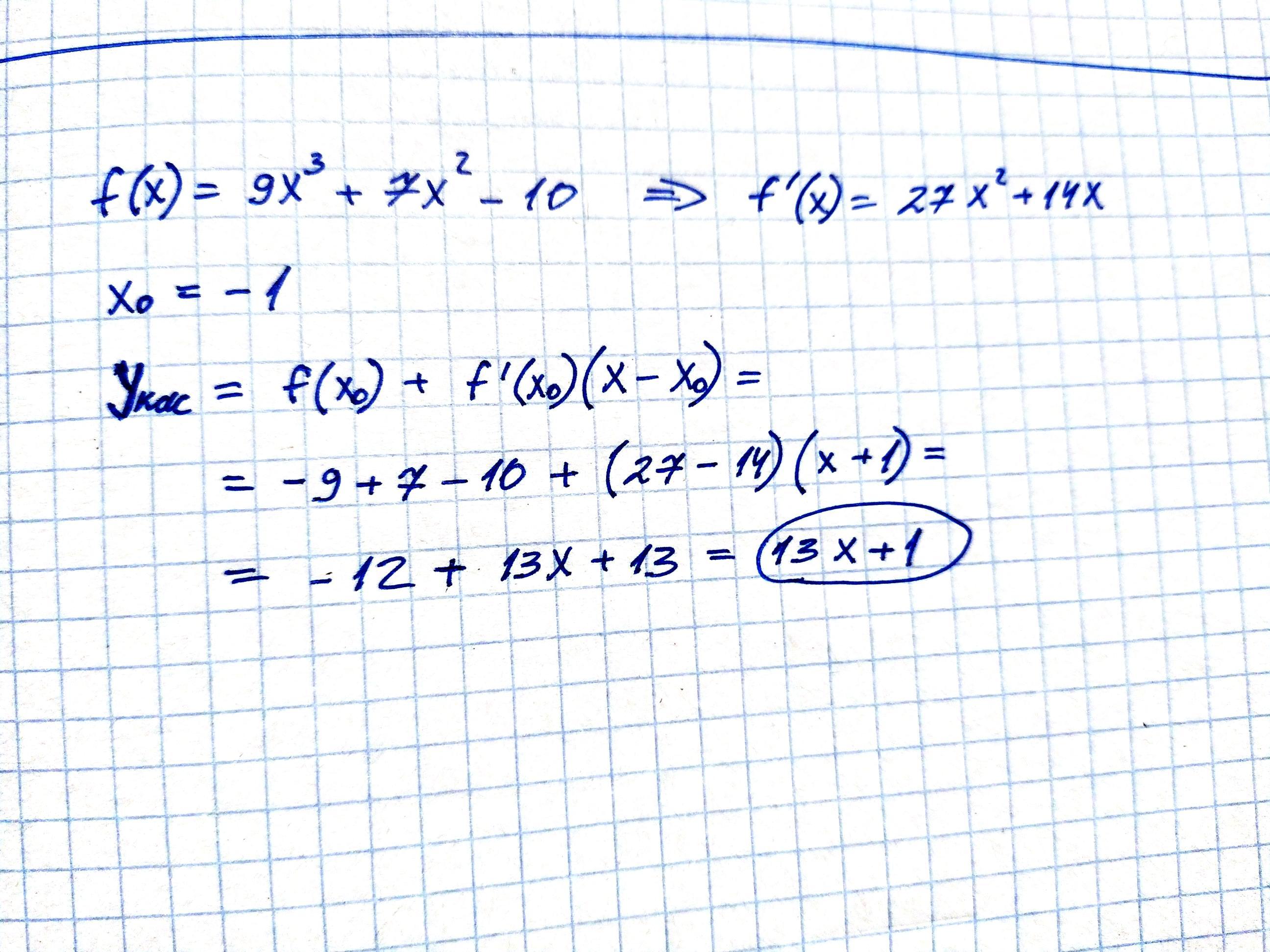
Составить уравнение касательной к функции f(x)=9x^3+7x^2-10 в точке Хо=-1
Срочно!!помогите, пожалуйста.
Ответы
Ответ дал:
0
Ответ:
13x+1
Пошаговое объяснение:
Приложения:

Вас заинтересует
2 года назад
2 года назад
2 года назад
2 года назад
7 лет назад
7 лет назад
9 лет назад