• Предмет: Алгебра
  • Автор: kvantam45
  • Вопрос задан 3 года назад

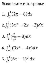
Может кто-нибудь пожалуйста решить?

Приложения:

Ответы

Ответ дал: yesbosinov
0

Ответ:

1) х^2-6х

х^2-6х|^1 0

1^2-6×1-(0^2-6×0)

=-5

5)54х^4-36х^3+9х^2-х

=26

Вас заинтересует