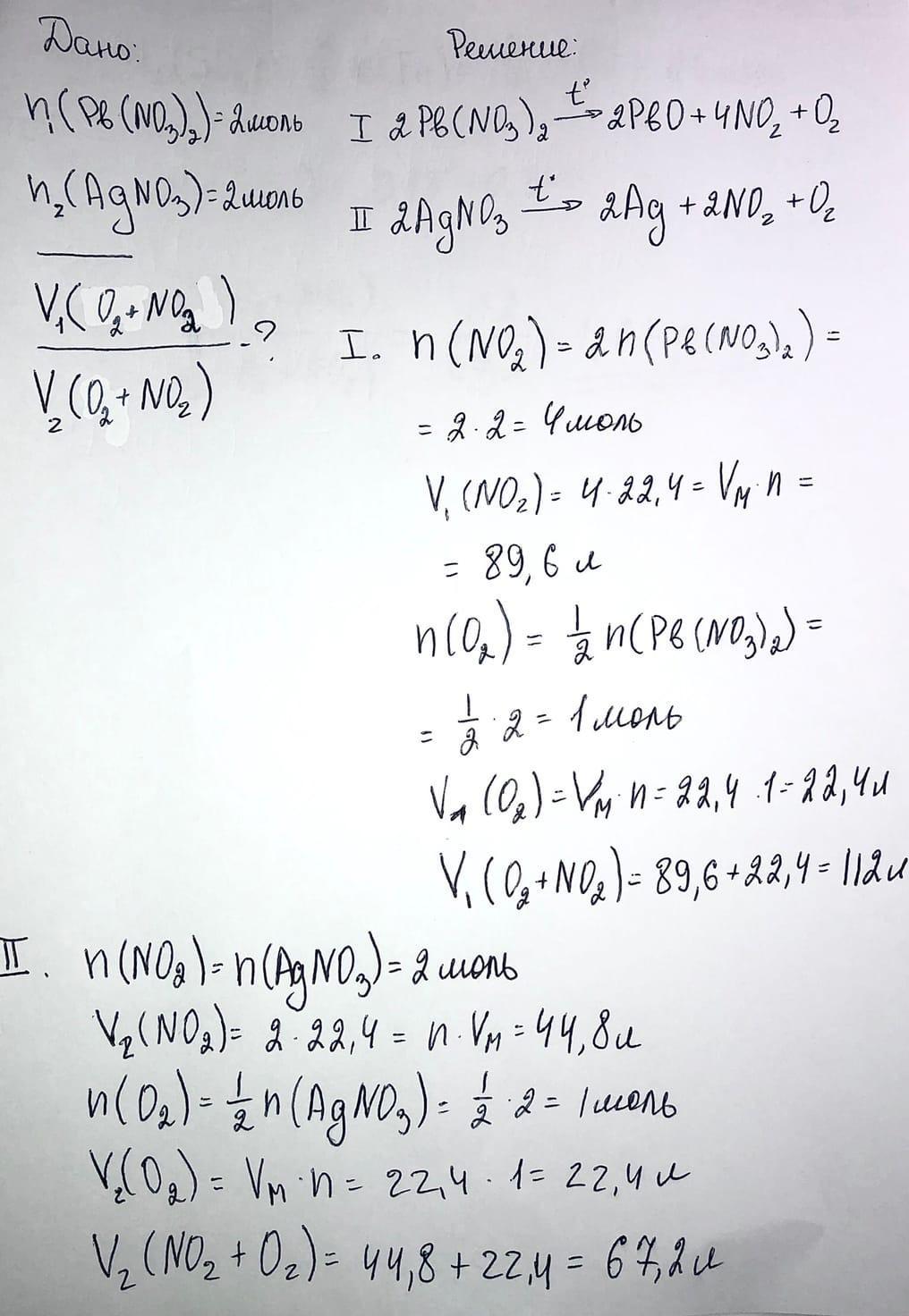
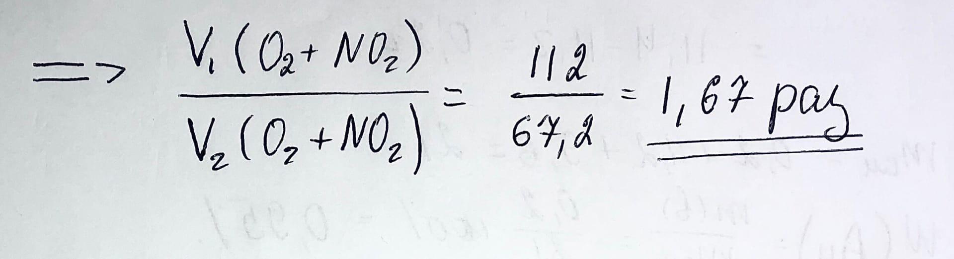
Во сколько раз больше объем газообразных веществ, полученных при разложение 2 моль Pb(NO3)2,чем объем газообразных веществ, полученных при разложение 2 моль AgNO3?
Ответы
Ответ дал:
5
Решение задачи описано в прикрепленном фото
Приложения:


Вас заинтересует
2 года назад
2 года назад
9 лет назад