• Предмет: Алгебра
  • Автор: anycika31
  • Вопрос задан 3 года назад

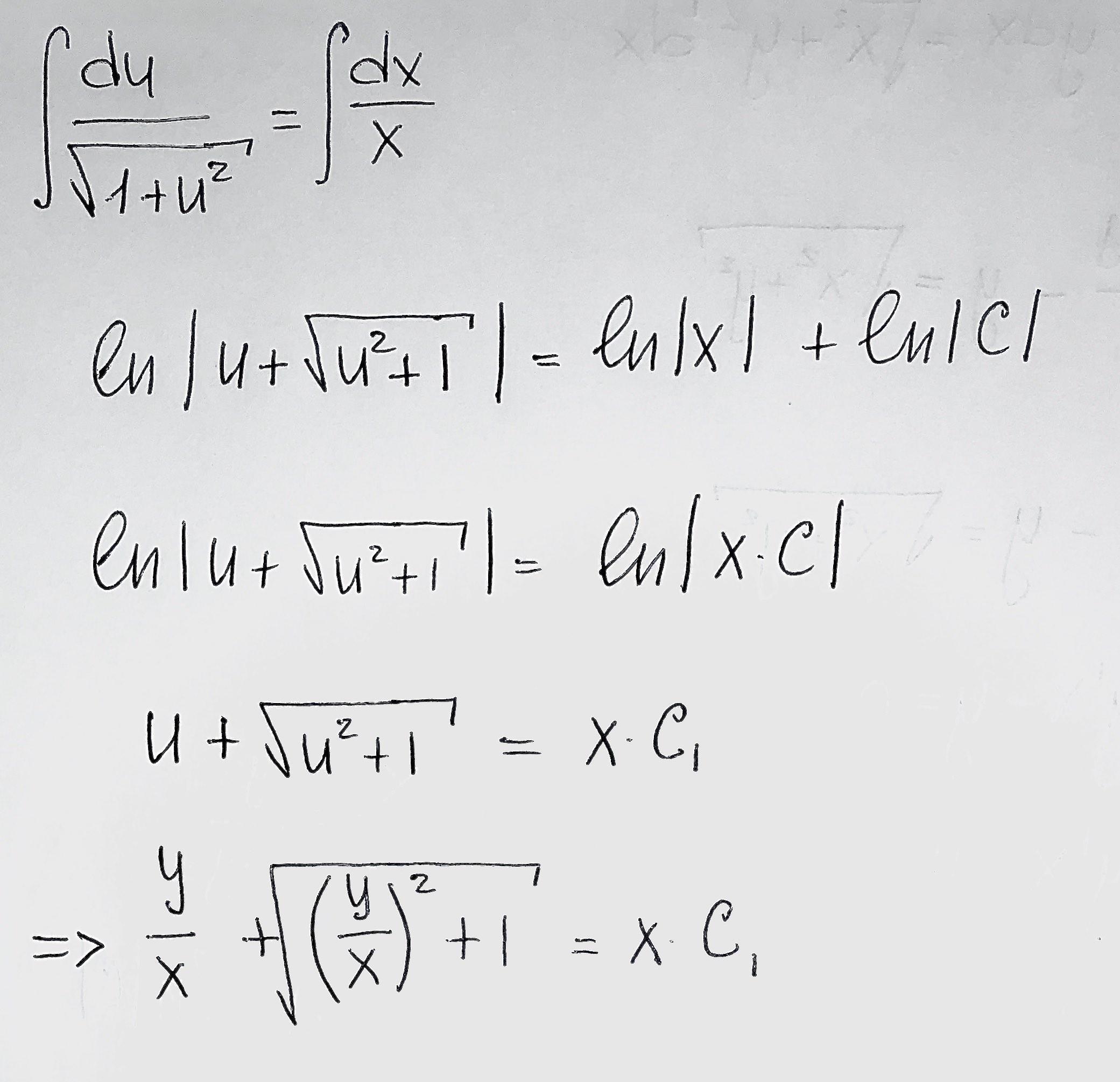
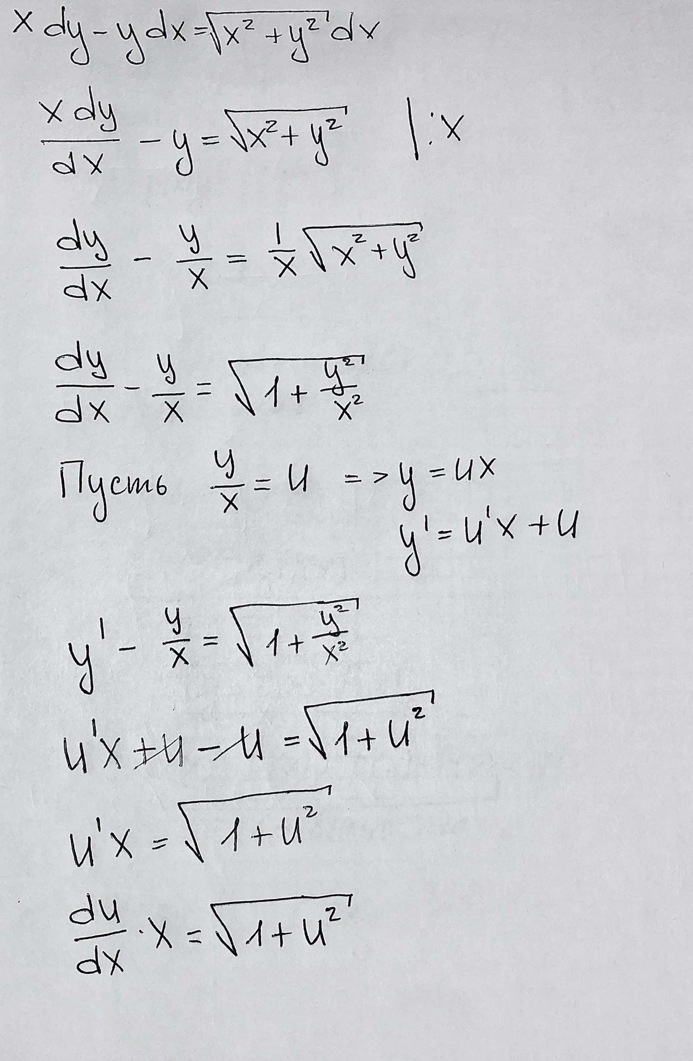
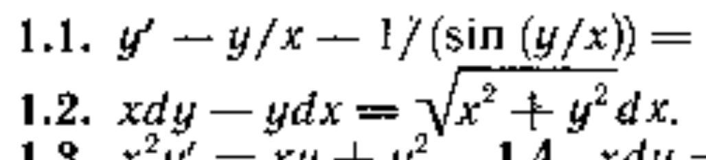
Дифференциальная уравнения 1.2
xdy-ydx=(sqrt(x^2+y^2))dx

Приложения:

Ответы

Ответ дал: efs2000
3

Решение уравнения прикрепляю в виде фотографии

Приложения:

anycika31: y=-1/(2c1)-c1x^2/2
anycika31: vot otvet, po moemu vi ne doveli do kontsa
efs2000: Доделал, в твоем ответе выражен игрек, для данного уравнения необязательно это делать, можно оставлять в таком виде как сделал это я
Вас заинтересует