• Предмет: Алгебра
  • Автор: Freeman2126
  • Вопрос задан 3 года назад

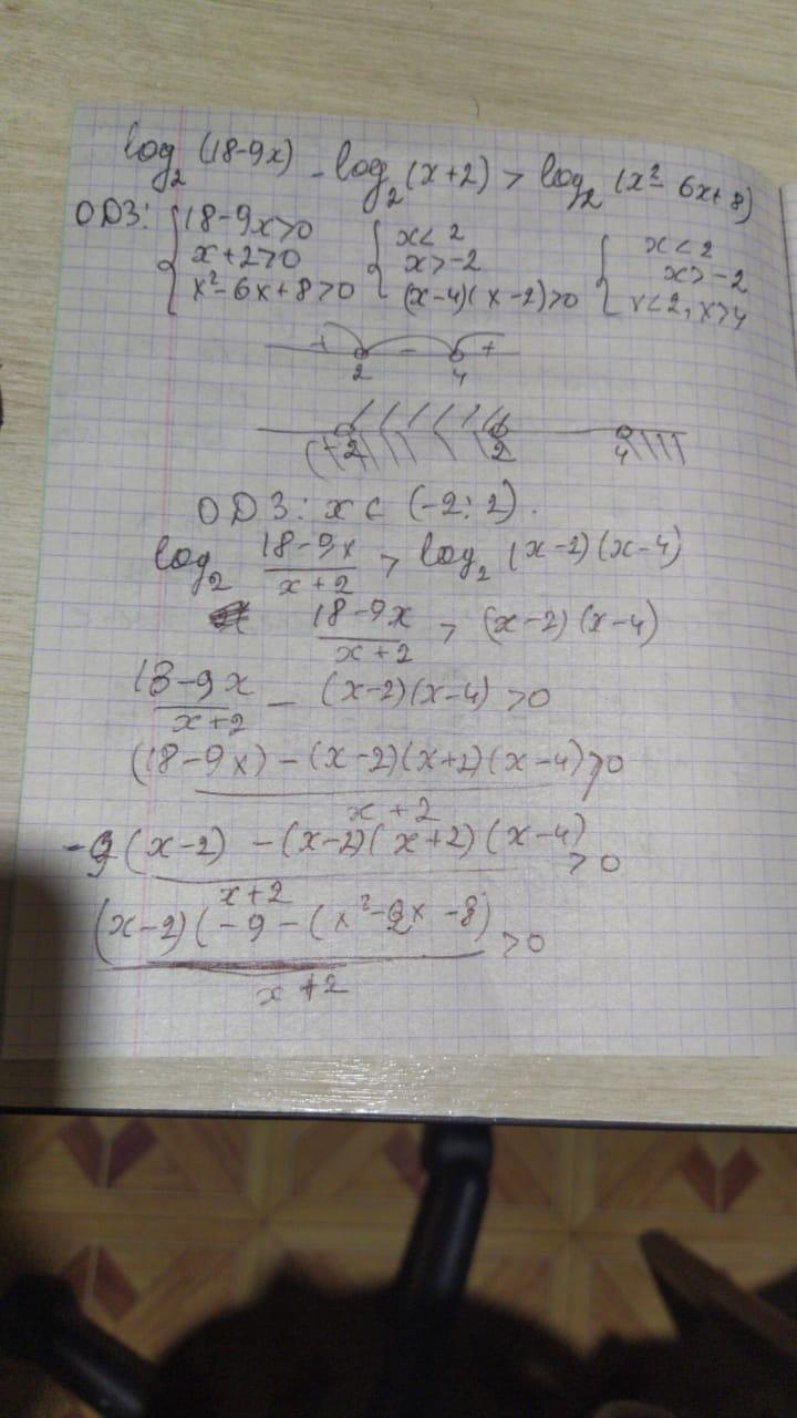
НОМЕР 4. РЕШИТЕ НЕРАВЕНСТВО

Приложения:

MrSolution: Если честно, это даже не на логарифмы неравенство.
MrSolution: Что пробовали делать сами?

Ответы

Ответ дал: terikovramazan
1

Ответ: (-2;1)∪(1;2)

Объяснение:

Приложения:
Вас заинтересует