4^√(6 + 10) × 4^(-6 - √(6))
Аноним:
Под корнем так и написано 6+10?
Ответы
Ответ дал:
1
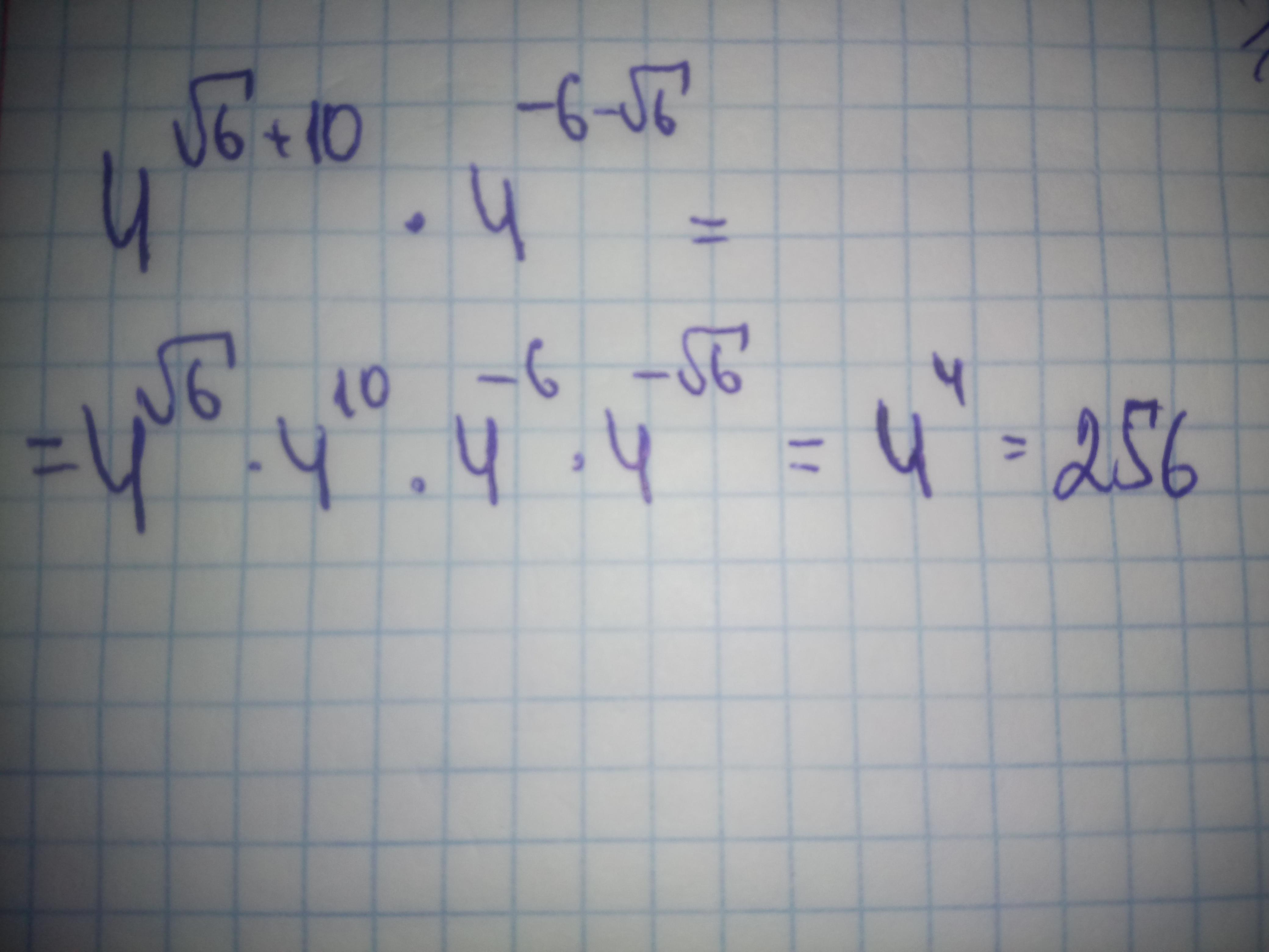
256. Решение задания приложено
Приложения:

Ответ дал:
0
Ответ:
256.
Пошаговое объяснение:
Если в условии опечатка, то решение следующее:
4^(√(6) + 10) × 4^(-6 - √(6)) = 4^(√(6) + 10 - 6 - √(6)) = 4^4 = 256.
Вас заинтересует
2 года назад
2 года назад
2 года назад
7 лет назад
9 лет назад