Ответы
Ответ дал:
1
Ответ:
Пошаговое объяснение:
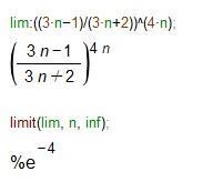
(3n-1)/(3n+2)=(1-1/(3n))/(1+2/(3n))
1/(1+2/(3n))=1-2/(3n)+... (оставляем только n в первой степени)
Тогда
(1-1/(3n))/(1+2/(3n))=(1-1/(3n))*(1-2/(3n)+...)=1-1/n+... (оставляем только n в первой степени)
lim (1-1/n)^4n=exp(-4), так как lim (1-1/n)^n=exp(-1)
Проверяем найденный предел в Maxima
Приложения:

Вас заинтересует
2 года назад
2 года назад
2 года назад
7 лет назад
7 лет назад
9 лет назад