• Предмет: Химия
  • Автор: YourToy
  • Вопрос задан 3 года назад

5. Рассчитайте массу осадка, полученного при взаимодействии 60г CoCl2 с избытком раствора NaOH.

Максимум баллов, решите, пожалуйста!!

Ответы

Ответ дал: efs2000
1

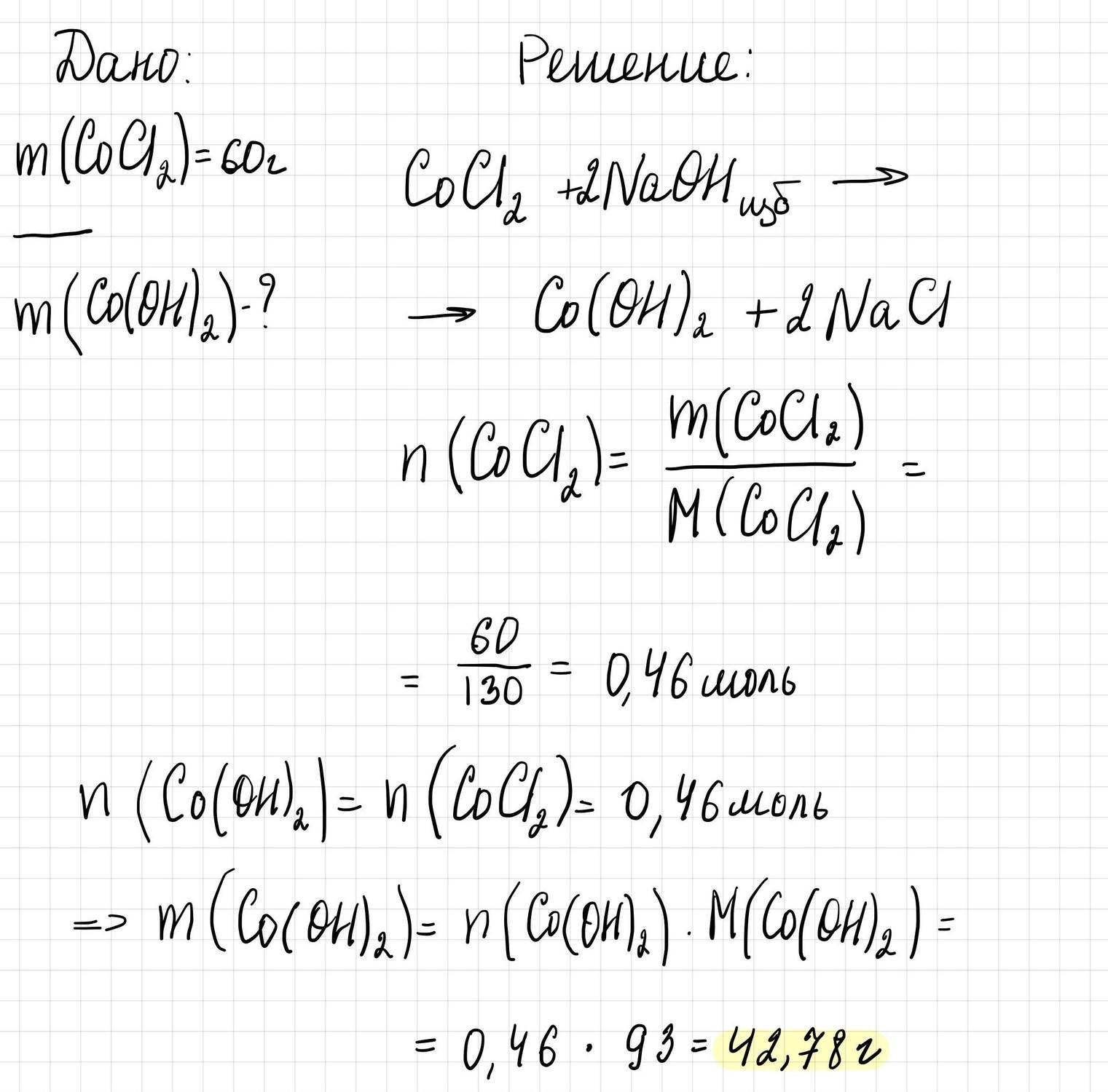
Решение задачи прикрепляю в формате фотографии

Приложения:
Ответ дал: DK954
1

Объяснение:

Дано:

m(CoCl₂) = 60 гр

---------------------------

Найти:

m(осадка) - ?

Решение:

1. Записываем уравнение реакции и в ней мы составляем пропорцию:

60 гр                                х - гр

CoCl₂ + 2NaOH(изб.) → Co(OH)₂↓ + 2NaCl

1 моль                              1 моль

130 гр/моль                93 гр/моль

2. Находим молекулярные массы хлорида кобальта и гидроксида кобальта:

M(CoCl₂) = 59+35,5×2 = 59+71 = 130 гр/моль

M(Co(OH)₂) = 59+(16+1)×2 = 59+17×2 = 59+34 = 93 гр/моль

3. Мы составили пропорцию под (1) пунктом, и теперь при помощи пропорции мы найдем массу осадка:

x = 60 гр × 93 гр/моль / 130 гр/моль ≈ 60 гр × 0,715 ≈ 42,9 гр ⇒ m(осадка) = 42,9 гр

Ответ: m(осадка) = 42,9 гр

Вас заинтересует