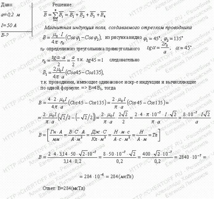
По квадрату со стороной 20 см течет ток 50 А. Определить магнитную индукцию в центре этого квадрата.
Ответы
Ответ дал:
0
Как-то так кажется))))))))))
Приложения:
Вас заинтересует
2 года назад
2 года назад
2 года назад
2 года назад
8 лет назад
9 лет назад
9 лет назад