ПОЖАЛУСТА ПОМОГИТЕ СРОЧНО!!!
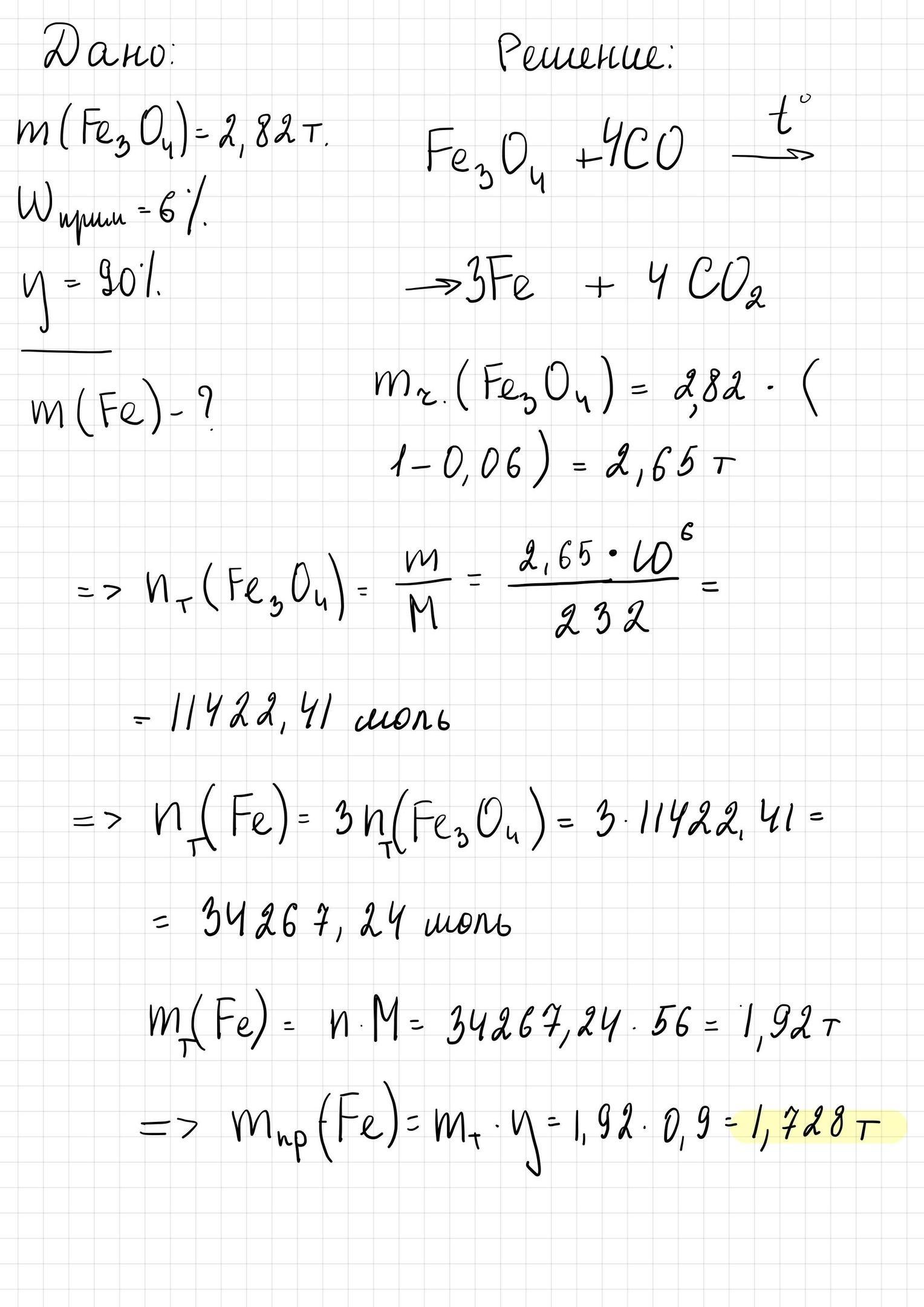
Какая масса железа получится при восстановлении его оксидом углерода(II)
из 2,82 тонны магнитного железняка, содержащего 6% примесей, еcли выход железа
составляет 90% от теоретически возможного?
Ответы
Ответ дал:
1
Решение задачи описано в прикрепленном фото
Приложения:

Вас заинтересует
2 года назад
2 года назад
2 года назад
9 лет назад