• Предмет: Алгебра
  • Автор: SCHELKUNOVA
  • Вопрос задан 3 года назад

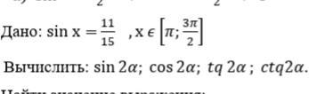
УМОЛЯЮ ПОМОГИТЕ ПОЖАЛУЙСТА

Приложения:

Ответы

Ответ дал: NamiMika
0

Ответы с решениями на фотографиях

Приложения:
Вас заинтересует