• Предмет: Математика
  • Автор: sofyaglebowa
  • Вопрос задан 3 года назад

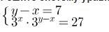
Решите систему уравнений:
В ответ запишите произведение x*y

Приложения:

Ответы

Ответ дал: binamaksimchuk
1

Ответ:

(-4;3)

Пошаговое объяснение:

у-х=7

3ˣ × 3⁷=3³

х+7 = 3

х=3-7

х= -4

у-(-4)=7

у=7 + (-4)

у= 3

Вас заинтересует