• Предмет: Математика
  • Автор: cherry1527
  • Вопрос задан 3 года назад

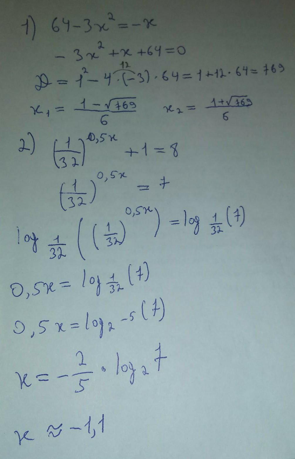
Найти корень уравнения
1)Корень 64-3х^2=-х
2) (1/32)^0,5х+1=8
Срочно прошу

Ответы

Ответ дал: dimauchenik654454
0

Ответы получились некрасивые, но по-другому никак.

Приложения:
Вас заинтересует