Ответы
Ответ дал:
0
Ответ:
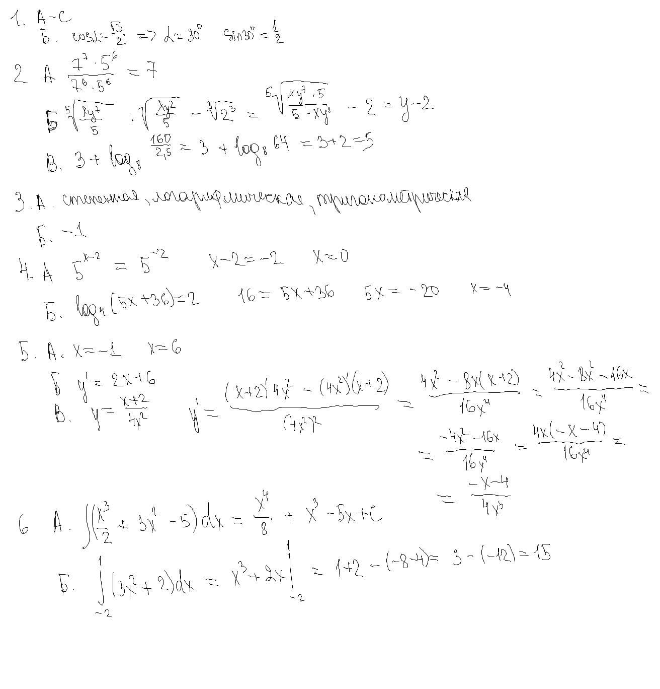
на фото
Пошаговое объяснение:
Приложения:

Вас заинтересует
2 года назад
2 года назад
2 года назад
7 лет назад