• Предмет: Математика
  • Автор: MimiUser
  • Вопрос задан 3 года назад

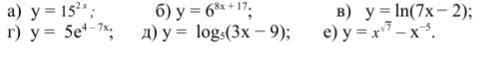
Найти производные следующих функций:(C решение) ПОЖАЛУЙСТАААААА

Приложения:

Ответы

Ответ дал: bearcab
1

Ответ:

a) y'=2\ln(15)15^{2x}

б) y'=8*\ln(6)*6^{8x+17}

в) y'=\frac{7}{7x-2}

г) y'=-35*e^{4-7x}

д) y'=\frac{3}{\ln5} *\frac{1}{3x-9}

е) y'=(\sqrt{7}-1)x^{\sqrt{7}-1}+\frac{5}{x^6}

Пошаговое объяснение:

а) y'=(15^{2x})'

y'=((15^2)^x)'

y'=(225^x)'

y'=225^x\ln(225)

y'=15^{2x}\ln(15^2)

y'=15^{2x}*2\ln(15)

y'=2\ln(15)15^{2x}

б) y=6^{8x+17}

y=6^{17}*6^{8x}

y=6^{17}*(6^{8})^x

y'=6^{17}*(6^{8})^x\ln(6^8)

y'=6^{17}*(6^{8})^x*8\ln(6)

y'=8*6^{17}\ln(6)*6^{8x}

y'=8*\ln(6)*6^{8x+17}

в)  y'=(\ln(7x-2))'

y'=\frac{1}{7x-2}*7

y'=\frac{7}{7x-2}

г) y=5e^{4-7x}

y'=5e^{4-7x}*(-7)

y'=-35*e^{4-7x}

д) y=\log_5(3x-9)

y=\frac{\ln(3x-9)}{\ln5}

y'=\frac{1}{\ln5} *\frac{1}{3x-9} *3

y'=\frac{3}{\ln5} *\frac{1}{3x-9}

e) y=x^{\sqrt{7}}-x^{-5}

y'=(\sqrt{7}-1)x^{\sqrt{7}-1}-(-5)*x^{(-5-1)}

y'=(\sqrt{7}-1)x^{\sqrt{7}-1}+5*x^{(-6)}

y'=(\sqrt{7}-1)x^{\sqrt{7}-1}+\frac{5}{x^6}


MimiUser: <3
Вас заинтересует