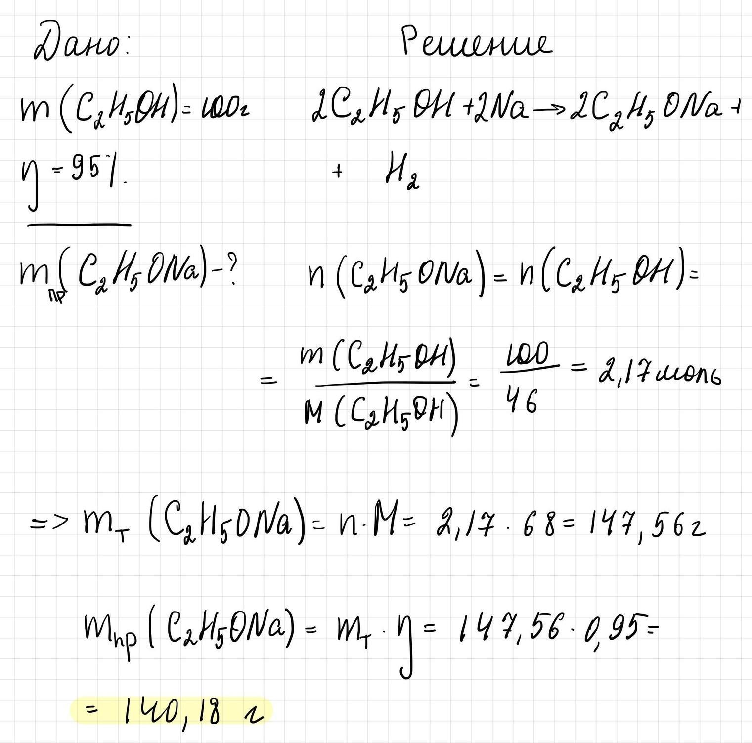
При взаимодействии натрия с 100г этиловым спиртом образовался этилат натрия. Найдите его массу, если практический выход продукта реакции составил 95% по сравнению с теоретическим.
Даю 40 баллов!!
Ответы
Ответ дал:
1
Решение прикрепляю в виде фотографии
Приложения:

Вас заинтересует
2 года назад
2 года назад
7 лет назад
7 лет назад
9 лет назад
9 лет назад