• Предмет: Математика
  • Автор: minimoni13
  • Вопрос задан 3 года назад

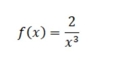
Укажіть похідну функції

Приложения:

Ответы

Ответ дал: afet74
1

Ответ:

\  f'(x)=-\frac{6}{x^{4} }

Пошаговое объяснение:

f'(x)= 2*(-3) x^{-3-1} =-6x^{-4}=-\frac{6}{x^{4} } \\\\f'(x)=-\frac{6}{x^{4} }

Вас заинтересует