• Предмет: Математика
  • Автор: minimoni13
  • Вопрос задан 3 года назад

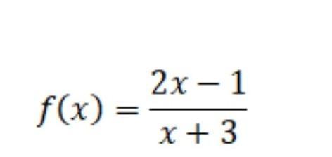
Знайдіть похідну функції ​

Приложения:

Ответы

Ответ дал: Аноним
0

Ответ:

f'(x)=\frac{(2x-1)'*(x+3)-(2x-1)*(x+3)'}{(x+3)^2} =\frac{2x+6-2x+1}{(x+3)^2} =\frac{7}{(x+3)^2}

Пошаговое объяснение:

Вас заинтересует