• Предмет: Математика
  • Автор: minimoni13
  • Вопрос задан 3 года назад

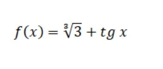
Знайдіть похідну функції ​

Приложения:

Ответы

Ответ дал: eugeneku
1

Ответ:

f'(x) = 0 + 1/cos^2x

Пошаговое объяснение:

Вас заинтересует