• Предмет: Математика
  • Автор: ic4findmyself
  • Вопрос задан 3 года назад

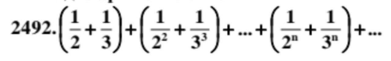
Вопрос на картинке решить

Приложения:

Ответы

Ответ дал: GluV
0

Ответ:

3/2

Пошаговое объяснение:

В задаче две геометрические прогрессии одна  с коэффициентом  1/2 другая 1/3.

1+1/3+1/3^2+1/3^3+...=1/(1-1/3)=3/2

1+1/2+1/2^2+1/2^3+...=1/(1-1/2)=2

Складываем первое и второе и вычитаем 2

Ответ: 3/2


ic4findmyself: Можешь на листочке решить, пожалуйста?
Вас заинтересует