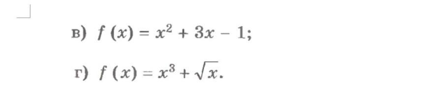
Математика 10-11 класс, помогите пожалуйста. Оформлю подписку2. Вычислить производную
Приложения:

123456321231:
Какое задание то?
Ответы
Ответ дал:
1
Ответ:
в) 2х + 3
г) 3х^2 + 1/2√х
Пошаговое объяснение:
Ответ дал:
1
в)
Чтобы взять производную данной функции, берем производную каждого из слагаемых:
г)
Ровно также как и в предыдущем задании берем производную каждого из слагаемых:
Вас заинтересует
2 года назад
2 года назад
2 года назад
2 года назад
7 лет назад