• Предмет: Алгебра
  • Автор: nikitkaaleshin97
  • Вопрос задан 3 года назад

Помогите решить пожалуйста это уравнение пожалуйста очень надо очень срочно пожалуйста

Приложения:

Ответы

Ответ дал: table123
0

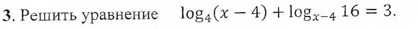
Ответ: 8; 20

Объяснение:

преобразуем  log(x-4) 16=2log(x-4) 4=2/log4 (x-4), тогда,

log4 (x-4)+2/log4 (x-4)-3=0,  log4 (x-4)=t,

t+2/t-3=0,  t^2-3t+2=0  t=1  t=2,  обратная замена,

log4 (x-4)=1,  x-4=4,  x=8  и  log4 (x-4)=2,  x-4=16,  x=20

Ответ дал: AaaleksandraSss
0
Ответ на фото..............................................
Приложения:
Вас заинтересует