• Предмет: Алгебра
  • Автор: Anubis511
  • Вопрос задан 3 года назад

Помогите решить 2 интеграла! даю 20 баллов!
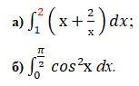
Смотрите в прикреплённом док-те.

Приложения:

Ответы

Ответ дал: Аноним
1

a)

Действуем через нахождения первообразной, а затем вычитания пределов интегрирования:

F(x) = \int\ {x + \frac{2}{x} } \, dx =  \int\ {x} \, dx +  \int\ { \frac{2}{x} } \, dx = \frac{x^2}{2}+ 2In(x) + C

Вычитаем значения функции, чтобы получить итоговый ответ:

F(2) - F(1) = (\frac{4}{2} + 2In(2)) - (\frac{1}{2}  + 2In(1)) = \frac{3}{2} + 2In(2)

б)

Действуем также как  в пункте а):

F(x) = \int{cos x^2} \, dx =  \int{\frac{1 + cos 2x}{2} } \, dx = \frac{1}{2} * \int{1 + cos2x} \, dx \\ = \frac{1}{2} * ( \int{1} \, dx +  \int{cos2x} \, dx) = \frac{1}{2} * (x + \frac{sin 2x}{2} ) + C = \\ \frac{1}{2} x + \frac{sin2x}{4} + C

Подставляем границы интегрирования в первообразную:

F(\frac{\pi }{2}) - F(0) = \frac{\pi }{4}

Вас заинтересует