• Предмет: Алгебра
  • Автор: Аноним
  • Вопрос задан 3 года назад

пожалуйста помогите мне по алгебре. задание в фото

Приложения:

Аноним: здравствуйте. подождите немного. у меня есть ответ
Аноним: сейчас отвечу на ваш вопрос
Аноним: очень признательна вам. спасибо за решение.и вам удачи и хорошего дня

Ответы

Ответ дал: Аноним
1

Ответ:

Здравствуйте.

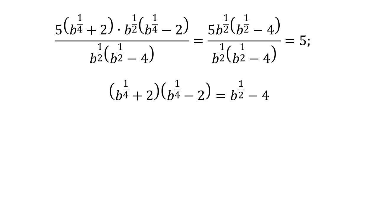
ответ на ваш вопрос прикреплено в фото.

можете доверять ответу.

Удачи ^_^

Объяснение:

Приложения:
Ответ дал: afet74
1

Ответ:

5

Объяснение:

na foto

Приложения:

Аноним: спасибо за решение.
Вас заинтересует