Ответы
Ответ дал:
1
Пошаговое объяснение:
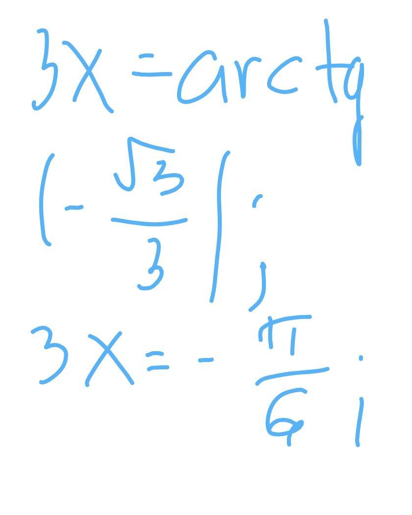
ответ на фото....... ....
Приложения:



Вас заинтересует
2 года назад
2 года назад
2 года назад
2 года назад
7 лет назад
9 лет назад