• Предмет: Математика
  • Автор: sistal244
  • Вопрос задан 3 года назад

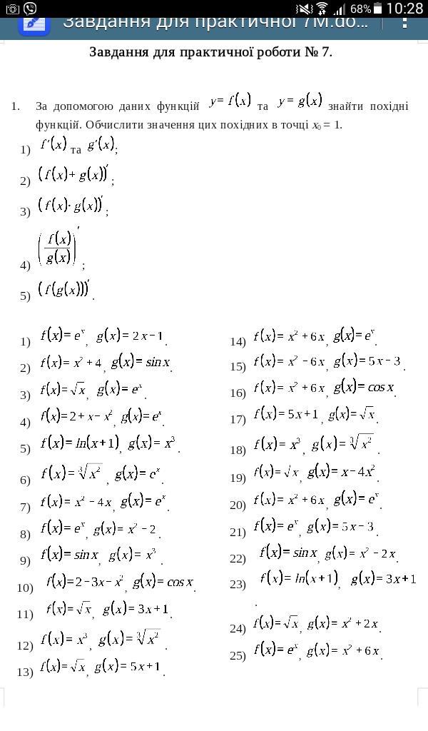
18 завдання аж скоріш

Приложения:

Ответы

Ответ дал: TheBirdTop
0

Ответ:

Photomath решит

Вас заинтересует