• Предмет: Математика
  • Автор: arbadalyan
  • Вопрос задан 3 года назад

Очень срочно нужно решение. Заранее огромное спасибо​

Приложения:

Ответы

Ответ дал: shavrinatv
0

Ответ:

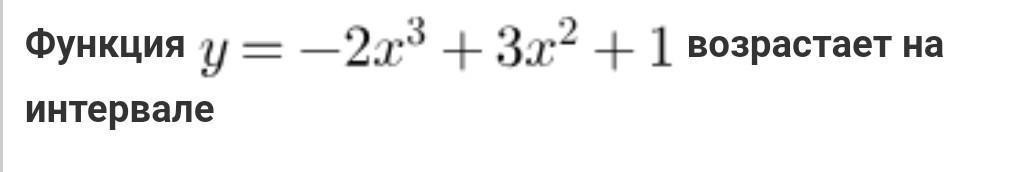
Функция возрастает на интервале (0;1)

Пошаговое объяснение:

Функция возрастает на интервале, где её производная больше нуля.

y'=-6x²+6x

-6x²+6x>0

-6x(x-1)>0

x(x-1)<0

____0___1____

  +         -       +

x∈(0;1)

Вас заинтересует