Ответы
Ответ дал:
0
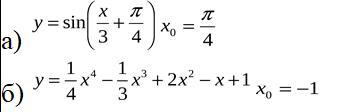
Ответ: а) 1/6
Б) -7.
Объяснение:
Приложения:

Вас заинтересует
2 года назад
2 года назад
2 года назад
7 лет назад
7 лет назад
9 лет назад
9 лет назад