• Предмет: Алгебра
  • Автор: GROSSIKUS
  • Вопрос задан 3 года назад

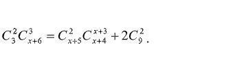
Решите уравнения пожалуйста

Приложения:

Ответы

Ответ дал: lidiasaraa3
0

...............................

Приложения:
Вас заинтересует