• Предмет: Алгебра
  • Автор: zfylz321
  • Вопрос задан 3 года назад

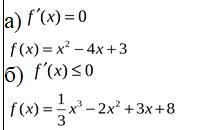
Решите уравнение и неравенство.

Приложения:

Ответы

Ответ дал: Evgenia4836
0

1) f’(x)=2x-4

2x-4=0

x=2

2) f’(x)= x²-4x+3

x²-4x+3≤0

x∈[1;3]

Вас заинтересует