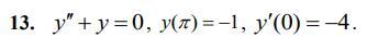
Найти частное решение дифференциального уравнения второго порядка,
удовлетворяющее указанным начальным условиям.
Приложения:

Ответы
Ответ дал:
1
Ответ:
решение на фотографии
Приложения:

Вас заинтересует
2 года назад
2 года назад
2 года назад
7 лет назад
7 лет назад
9 лет назад