• Предмет: Математика
  • Автор: kamol33
  • Вопрос задан 3 года назад

Помогите решить этот пример))))​

Приложения:

Ответы

Ответ дал: tamarabernukho
3

Ответ:

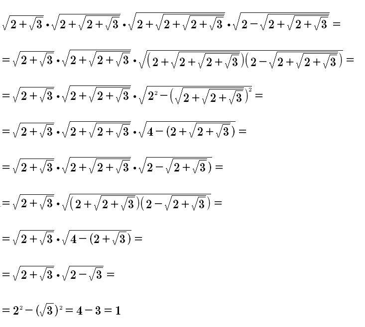
А) 1

Пошаговое объяснение:

****************

Приложения:

kamol33: спасибо большое))))
Вас заинтересует